Здесь мы собираем самые интересные статьи, интервью, репортажи и многое другое.
Стандартизация технологий изготовления матриц для охлаждаемых тепловизоров – «тепло» или «холодно»?
Дудин А., Кацавец, Н., Красовицкий, Д., Филаретов, А., Чалый В.

Принцип стандартизации технологических процессов, широко используемый при создании компонентный базы СВЧ‑электроники, также значительно повышает эффективность разработки и производства отечественных инфракрасных охлаждаемых матричных фотоприемников на основе полупроводниковых наногетероструктур А3В5 – ключевых компонентов высокочувствительных тепловизионных систем гражданского и двойного применения.
Количество вариантов применения разнообразных систем тепловидения давно вышло за рамки сугубо военной спецтехники: по оценке Yole Development, в 2018 году доля гражданских применений составляла уже не менее двух третей общего объема выпуска и продолжает неуклонно расширяться [1]. Особенно популярными в последние годы стали аппаратура и методы термографии, позволяющие проводить практически мгновенную диагностику локальных изменений температуры как на крупных промышленных объектах (заводских цехах, трубопроводах и т. п.), так и в скоплениях живых организмов (будь то стадо сельскохозяйственных животных или поток пассажиров в зале прибытия аэропорта). Технический прогресс позволил, в зависимости от решаемой задачи, максимально упростить и удешевить используемые при этом устройства, вплоть до бытовых тепловизионных приставок к смартфонам. И все же, для некоторых особенно ответственных применений, требующих от используемого в визирном канале фотоприемника сверхвысокой чувствительности, большой дальности обнаружения, устойчивости к помехам, незаменимыми остаются достаточно сложные в производстве охлаждаемые тепловизоры среднего (3–5 мкм) и дальнего (8–12 мкм) инфракрасных диапазонов, соответствующих наиболее широким «окнам прозрачности» атмосферы. Такие устройства используются как самостоятельно, так и в составе комплексированных (двухдиапазонных, или даже совмещенных с радиоканалом) систем. Фоточувствительные широкоформатные матрицы, обеспечивающие наилучшие характеристики тепловизоров, охлаждаются до криогенных температур и до настоящего времени изготавливались из узкозонных полупроводниковых материалов (на основе соединений InSb, InAsSb или СdHgTe). В последнее время на смену объемным узкозонным полупроводниковым материалам для изготовления ИК-фотоприемных устройств постепенно приходят наногетероструктуры с активными квантоворазмерными областями, позволяющие использовать оптические переходы между энергетическими подуровнями в квантовых ямах [2]. Основным достоинством так называемых QWIP-гетероструктур (Quantum well infrared photodetector), активная область которых состоит из чередующихся квантовых ям и более широкозонных барьеров, является высокая однородность и технологичность выращивания, а также возможность «настраивать» длину волны поглощаемого излучения, меняя толщину и материал квантовой ямы или высоту барьера. Диапазон энергий поглощаемых квантов в этом случае может составлять величину от нескольких сотен до десятков миллиэлектронвольт, что соответствует изменению спектральной фоточувствительности от среднего инфракрасного до терагерцового диапазонов.
По «традиции», сформировавшейся еще до широкого распространения тепловидения в гражданских отраслях, используемые для этого компоненты и технологии являются предметом достаточно жестких экспортно-импортных ограничений, превратившихся в условиях ужесточения санкционной политики в полный запрет. К сожалению, в Российской Федерации разработки технологий изготовления подобных материалов и устройств на их основе до сих пор не вышли за рамки испытаний опытных образцов. Как превратить имеющийся научно-технический задел в рабочий инструмент, позволяющий в обозримые сроки устранить отставание в этой важнейшей области отечественной электроники?
СИЛА МЕЛОЧЕЙ – В ИХ КОЛИЧЕСТВЕ
Охлаждаемые тепловизоры являются сложными устройствами, характеристики которых определяются совокупностью взаимовлияющих факторов, включающих в себя качество оптической схемы, эффективность систем охлаждения, обработки сигнала, питания, массогабаритные параметры и т. д. Но ключевым элементом любого тепловизионного устройства, безусловно, является фоточувствительная полупроводниковая матрица (ФПМ), наличие собственного производства которых является показателем уровня развития и неотъемлемым атрибутом технологической безопасности государства. Технологии изготовления современных гетероструктурных матриц (например, упомянутых выше QWIP) основаны на планарных процессах, аналогичных и, на первый взгляд (с точки зрения схемного разнообразия, проектных норм, количества операций в маршруте и т. д.), даже более простых, чем используемые в производстве микросхем. Однако эти технологии имеют ряд существенных особенностей, обуславливающих сложность, а следовательно, и дороговизну разработки и постановки ФПМ на производство. Остановимся на них подробнее.
Гетероструктуры для современных ИК-матриц на основе материалов А3В5 гораздо более сложны по конструкции, чем используемые при производстве микросхем на основе гетеробиполярных (НВТ) или полевых транзисторов с высокой подвижностью электронов (НЕМТ). Как правило, они включают в себя так называемые множественные квантовые ямы (периодически чередующиеся квантоворазмерные области), области (многослойные или градиентные) с чередованием стехиометрического состава в широких пределах и т. д. Отдельно следует упомянуть повышенные требования к плотности поверхностных дефектов и однородности гетероструктур, обусловленные большой (по сравнению с большинством микросхем) площадью матриц, сравнимой с площадью современных процессоров: уже ФПМ формата 640 × 512 при шаге между пикселами 20 мкм занимает более 140 мм2. Эпитаксиальное выращивание таких гетероструктур занимает в несколько раз больше времени, требует гораздо более прецизионного in situ контроля, хуже поддается автоматизации процесса и по этим причинам менее приспособлено к массовому производству. Немаловажной проблемой является и выбор адекватных методов выходного контроля гетероструктур, так как оценить их пригодность к изготовлению фоточувствительных элементов по косвенным параметрам, без изготовления прототипа прибора, крайне затруднительно.
Планарная технология изготовления ФПМ, несмотря на небольшое количество операций, также имеет ряд проблемных составляющих, связанных как с физико-химическими свойствами используемых материалов, так и с конструктивными особенностями формируемых приборных топологий:
- необходимость пассивации поверхностей соединений А3В5, многие из которых довольно активны химически;
- травление с высоким аспектным соотношением областей структуры переменного состава, в том числе – с многопериодными квантовыми ямами;
- селективность к поляризации поглощаемого в QWIP-структуре излучения, приводящая к необходимости формирования двумерной дифракционной решетки на поверхности ФПМ и т. д.
На требования по радиальной однородности параметров гетероструктур при их последующей планарной обработке накладывается требование к высокой воспроизводимости формируемых элементов топологии: при сравнительной простоте конструкции каждого отдельного пиксела, их «одинаковость» в рамках одного устройства в значительной мере определяет его эффективность. Как и в случае с выходным контролем гетероструктур, существует проблема экспресс-оценки качества проведения планарного процесса, поскольку возможность проверки работоспособности сформированной матрицы требует, по сути, полного завершения цикла создания прибора – нанесения контактирующих индиевых столбиков и монтажа матрицы на мультиплексор, охлаждения до рабочих режимов и т. п.
В целом, процесс разработки конструкции и технологии изготовления ФПМ на основе новых материалов можно охарактеризовать как слабоуправляемый и труднопрогнозируемый, а потому долгий и дорогой. Параметры конечного изделия, с одной стороны, в значительной мере определяются фундаментальными свойствами гетероструктур с квантоворазмерными активными областями, с другой стороны – количество технологических переделов в маршруте изготовления изделия столь велико, что зачастую взаимосвязи параметров попросту теряются. Чрезвычайно затруднена и обратная задача – формулирование технических требований к гетероструктурам, технологическим процессам их производства и последующего планарного процессинга исходя из требуемых параметров изделия (ФПМ). Не мудрено, что за обычное время проведения НИОКР (от 2 до 5 лет) разработчику удается провести полный цикл изготовления и испытаний опытных образцов не более двух-трех раз, выход годных при таком количестве «отработанных» процессов будет крайне низок, а процесс внедрения полученных перспективных результатов растягивается еще на годы. Подобная ситуация никого не удивляет и более того – считается приемлемой в областях специального применения – цикл разработки головных систем там иногда измеряется десятилетиями. Но, как мы отмечали в начале статьи, тепловидение в последнее время интенсивно завоевывает позиции и в гражданской технике, в том числе – массового применения. Как же решать вопросы ускорения цикла разработки и внедрения перспективных тепловизионных систем, не забывая при этом о контроле качества и снижении себестоимости достаточно непростой технологии изготовления охлаждаемых ФПМ?
СТАНДАРТНЫЕ РЕШЕНИЯ В НЕСТАНДАРТНЫХ СИТУАЦИЯХ
Впервые необходимость «попробовать силы» в ИК-фотоприемной тематике возникла у нас на исходе первой декады двухтысячных, когда перед отечественными разработчиками ФПМ для тепловизионных камер третьего поколения, которые были призваны заместить широко применявшиеся тогда лицензионные устройства французcкой компании SOFRADIR, остро встал вопрос поиска отечественных поставщиков QWIP-гетероструктур. Основная сложность заключалась в упомянутой выше необходимости адекватно тестировать приборную применимость гетероструктур, причем на насколько возможно более ранних стадиях разработки. К этому времени в компании уже четко сложилась практика применения стандартных технологий разработки и изготовления СВЧ ЭКБ [3], поэтому было решено использовать для технологии ФПМ (включая технологию роста гетероструктур) сходный алгоритм. Конечно, полной аналогии не было, и конструкция стандартного элемента – пиксела матрицы – не отличается сложностью, и как таковых ни библиотеки элементов, ни комплексного инструмента проектирования (PDK) для построения матрицы, даже широкоформатной, не требовалось. Однако базовые подходы к технологическому процессу – определение его входов и выходов, построение системы контрольных точек, разработка параметрического монитора (ПМ) и методик контроля, характеризация (определение статистически значимых параметров изменчивости и воспроизводимости) и последующий мониторинг технологии – были неукоснительно соблюдены.
Одной из основных задач первого уровня разработки был поиск метода выходного контроля гетероструктур после эпитаксиального роста, позволяющего оперативно проводить отработку их конструкции, а также контролировать сохранение основных приборно-ориентированных параметров по мере прохождения пластины по планарному маршруту. Дело в том, что ни рентгеновская дифрактометрия, ни микрозондовые методы, широко применяющиеся для характеризации многослойных гетероструктур, не давали оперативной информации о том, попадет ли максимум поглощения QWIP-структуры в нужную спектральную область и насколько эффективным оно будет. В качестве инструмента отработки конструкции гетероструктур была выбрана зависимость спектра фотолюминесценции активной области от состава «квантовой ямы» и барьерных слоев. В результате модельных расчетов, подкрепленных впоследствии экспериментальными данными, была установлена однозначная связь между фотолюминесцентным спектром гетероструктуры и полосой поглощения фотоприемника на ее основе (рис. 1). Важно отметить, что подобные спектральные измерения могут служить и средством оперативного контроля «качества» активной области как внутри маршрута формирования матрицы (при комнатной температуре), так и по его завершению – в качестве выходного контроля и принятия решения о запуске матрицы на дальнейшие достаточно ресурсоемкие операции – нанесение контактных столбиков и монтаж матрицы на мультиплексор.
Рис. 1. Схематическое изображение зонной диаграммы (а) и спектральные характеристики (б) модельной квантовой ямы (SQW) и активной области QWIP‑гетероструктуры
Далее, важным этапом стало определение физического объекта, адекватно отражающего фотоэлектрические свойства сформированной на гетероструктуре матрицы и в то же время служащего индикатором надлежащего выполнения технологического процесса при его мониторинге. Таким объектом стал тестовый фотоприемник (ТФП), представляющий собой увеличенный в размере аналог стандартного активного элемента (пиксела) матрицы (рис. 2а), включаемый в состав ПМ наряду с тестовыми элементами, позволяющими проводить межоперационный контроль на разных этапах формирования приборной топологии – элемент для измерения спектров ФЛ и элементы контроля состояния структуры на этапах глубокого травления (рис. 2б).
Рис. 2. Тестовый фотоприемник (а) и параметрический монитор (б) для межоперационного и выходного контроля технологического процесса изготовления ФПМ
Минимальный набор фотоэлектрических параметров, контролируемых на одиночных ТФП, включает в себя:
- спектр фотолюминесценции;
- вольтамперные характеристики темновых токов;
- спектр фоточувствительности;
- токовую чувствительность;
- эквивалентную шуму разность температур (NETD).
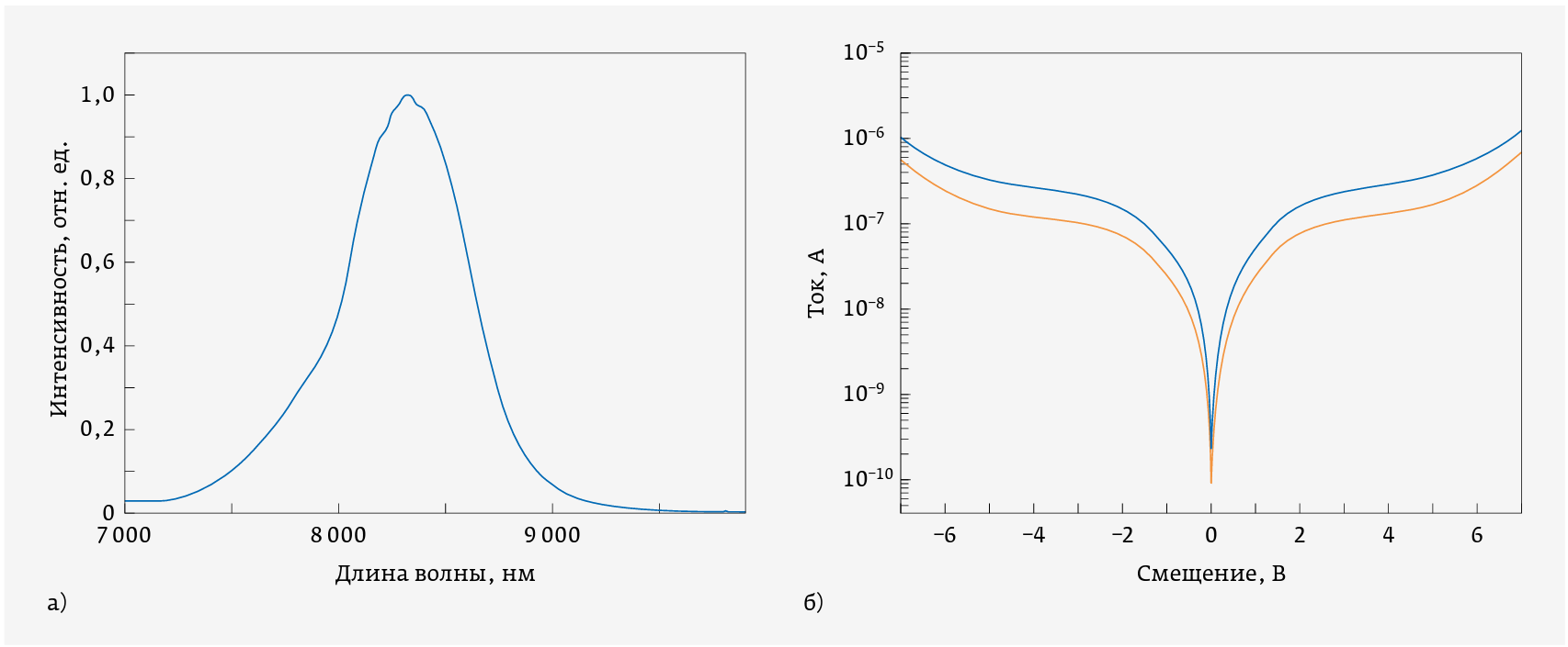
Размещение ПМ в нескольких точках пластины дает возможность оценивать и радиальную неоднородность их параметров, что, как указано ранее, имеет в технологии ФПМ колоссальное значение. Типичные характеристики ТФП, полученные в ходе изготовления ФПМ диапазона 8–10 мкм на основе QWIP-гетероструктуры AlGaAs / GaAs, приведены на рис. 3.
Рис. 3. Типичные параметры ТФП размером 500 × 500 мкм2, полученные в ходе изготовления QWIP ФПМ: спектр фоточувствительности (а), темновой (красная линия) и фоновый (черная линия) токи (б)
Важно отметить, что разработанная технология, при наличии статистически значимых данных о ее изменчивости (средние значения и разбросы контрольных параметров) и воспроизводимости (повторяемости контрольных параметров от процесса к процессу) становится практически универсальной применительно к форматам и шагу матриц, в том числе – позволяет сформулировать правила топологического проектирования (размещения любых конструктивных элементов в рамках определенных технологических ограничений) всех возможных конструктивно- технологически подобных матриц под любой тип мультиплексора, используемый отечественными разработчиками тепловизионных систем.
ПРОДОЛЖЕНИЕ СЛЕДУЕТ?
Выше мы рассмотрели очередной пример, показывающий, как использование принципа стандартизации технологий позволяет создать эффективный и масштабируемый инструмент разработки и производства электронных компонентов, казалось бы, весьма далеких от обычной номенклатуры продукции СВЧ фабрики «фаундри», каковой является АО «Светлана – Рост». Первые шаги в данной области были сделаны в рамках реализации научно- технической программы Союзного государства РБ и РФ «Прамень» (2011–2015 гг.), при этом за обычный для НИОКР срок были разработаны конструкция и технология роста гетероструктур [4] и на их основе получены опытные образцы QWIP ФПМ формата 320 × 256 с шагом 30 мкм на оба ИК-диапазона – 3–5 и 8–10 мкм [5]. В 2016–2018 годах по той же концептуальной схеме, но вдвое быстрее и при меньших затратах, была выполнена СЧ ОКР «Фотик-27-СВР» по разработке ФПМ на основе так называемых XBnструктур (где Х – контактный слой n- или p-типа проводимости, В – барьерный слой и n – поглощающий слой n-типа проводимости [6]) в системе InGaAlAsSb на диапазон 3 –5 мкм, закончившаяся опытными образцами уже вполне конкурентоспособных матриц формата 640×512 с шагом 20 мкм (рис. 4а). Аналогичные широкоформатные матрицы на основе QWIP AlGaAs / GaAs с рабочей температурой не менее 70К (рис. 4б) были разработаны компанией на основе полученного в «Прамене» задела и доведены до натурных испытаний в инициативном порядке, причем в еще более сжатые сроки.
Рис. 4. Пластины с широкоформатными (640 × 512, шаг 20 мкм) ФПМ на основе структур InAlAs / GaSb XBn диапазона 3–5 мкм (а) и на основе AlGaAs / GaAs QWIP диапазона 8–10 мкм (б)
Означает ли написанное, что проблема полностью решена? Конечно же, нет. Пока достигнутые результаты позволяют лишь с уверенностью заключить, что методология разработки и производства, основанная на стандартных технологиях, по-настоящему работает и применительно к критическим компонентам современной ИК-техники. Эта методология позволяет незамедлительно перейти к решению, как минимум, двух стратегически важных для отрасли задач:
- подготовке и освоению производства (в любом необходимом объеме выпуска) уже разработанных широкоформатных ИК-матриц;
- разработке более «продвинутых» (например, мегапиксельных матриц с меньшим шагом) отечественных продуктов, в том числе – для гражданских рынков.
* * *
Накопленный авторами опыт разработки и внедрения стандартных технологий позволяет с уверенностью утверждать, что обе эти задачи решаемы с четко прогнозируемыми сроками и ресурсными затратами. Будут ли поставлены эти задачи перед отечественной микроэлектронной промышленностью? Покажет ближайшее будущее.
А. Дудин 1, Н. Кацавец, к. ф.‑м. н. 2, Д. Красовицкий, к. х. н. 3, А. Филаретов, к. ф.‑м. н. 4, В. Чалый, к. ф.‑м. н. 5
Статья впервые опубликована в журнале "ЭЛЕКТРОНИКА: НТБ" № 2 за 2022 год.
_______________________________________________________________________________________________________________________________
ЛИТЕРАТУРА
- Попов В., Наумов А. Современные охлаждаемые фотоприемные устройства ИК-диапазона // Системы безопасности. 2020. № 3.
- Gunapala S. D. et. al. Quantum Well Infrared Photodetector Technology and Applications // IEEE Journal of Selected Topics in Quantum Electronics. 2014. V. 20. No. 6. (3802312).
- Зверев А., Попов В., Филаретов А., Чалый В. Модели организационного развития предприятий полупроводниковой промышленности // ЭЛЕКТРОНИКА: Наука, Технология, Бизнес. 2011. № 4. С. 102.
- Дудин А. Л. и др. AlGaAs / GaAs гетероструктуры с квантовыми ямами для широкоформатных матриц, работающих в спектральной области 8÷10 мкм // Труды XXII Международной научно- технической конференции по фотоэлектронике и приборам ночного видения 22–25 мая 2012 г. Москва. С. 45–47.
- Дудин А. Л. и др. Широкоформатные QWIP матрицы, фоточувствительные в спектральных диапазонах 8÷10 и 3÷5 мкм // Труды XXIV Международной научно- технической конференции и школы по фотоэлектронике и приборам ночного видения, 24–27 мая 2016 г. Москва. С. 30–32.
- Бурлаков И. Д. и др. Униполярные полупроводниковые барьерные структуры для матричных фотоприемных устройств ИК-диапазона // Успехи прикладной физики. 2019. Т. 7. № 6. С. 547.
Понравилась статья? Поставьте лайк